Hi my name is

Jacob Funk

I'm a full-stack software developer

Coding is a passion of mine, and I love building cool things

View projects
arrow_forward

About Me

I am currently a software engineer at the Johns Hopkins University Applied Physics Lab.

I graduated from UMBC with a degree in Bioinformatics/Computational Biology and Computer Science magna cum laude.

As a developer, my main goal is to build projects that have a positive impact. I enjoy being part of a team that is creating tools that are helping the world become more efficient, safe, inclusive, and connected.

Skills

JavaScript
C++
Python
Git
React.js
Node.js

Projects

Please, feel free to take a look at some of the cool things I've built and developed.

PlanGex

Built Using: React, MUI components, Node, Express, SQLite

PlanGex is a genetic database CRUD application I built while volunteering as a research assistant and developer for UMBC's Lobo Lab. Plangex uses a REST API and a simplistic frontend to help lab members search through, sort, and organize data from our planarian worm genetics database.

Users can find recent publications that mention specific genes, as well as view visualizations of predicted gene expression patterns using known outcomes from published experiments.

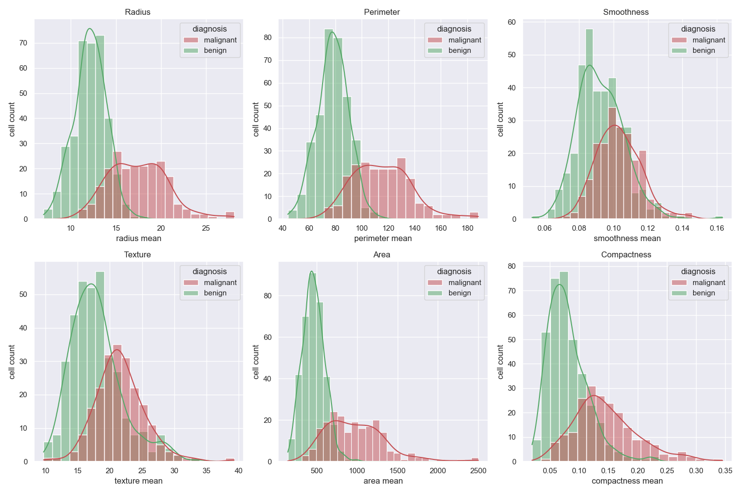
Breast Cancer Diagnosis Predictor

Built Using: Python, SciKit-Learn, XGBoost, Seaborn, Matplotlib

Using popular machine learning/data science libraries, I trained several classifier models on UCI's Wisconsin Breast Cancer dataset in order to compare how accurately different types of models performed.

I used Seaborn to create modern histograms of this dataset's feature distributions, as well as ROC curves for analyzing model performance. After determining that my XGBoost classifier was the most accurate, I tuned the model's hyperparameters for further optimization, resulting in a model with over 97% accuracy and over 96% precision (cross-validated on 10 folds).

Click here for the code

Frugal Foodie

Built Using: React, Mantine components, Tasty API, OpenAI

Frugal foodie is a hackathon project that won "Most Socially Beneficial" at HackUMBC 2022. I built this platform with 3 other students in the span of 24 hours. It is a web application that suggests a full week's meal plan for college students based on their budget. The app automatically generates a grocery list for the week, and also has an AI-assisted recipe generator that intelligently uses the ingredients that someone has on hand.

Here's a live demo

Let's Connect

I love collaboration and I am currently looking for new opportunites! Please feel free to reach out to me whichever way is best for you, I am activly checking all of the contact methods listed here, so please feel free to send me an email, message, connection request, DM, etc.